Texas Instruments OPA818 Low Noise Operational Amplifier

Texas Instruments OPA818 Low Noise Operational Amplifier is a decompensated, voltage-feedback operational amplifier for high-speed and wide dynamic range applications. OPA818 has a low-noise junction gate field-effect transistor (JFET) input stage that combines high gain bandwidth with a wide supply range from 6V to 13V. The fast slew rate of 1400V/μs provides high large-signal bandwidth and low distortion. This amplifier is manufactured using Texas Instruments' proprietary, high-speed, silicon-germanium (SiGe) process to improve performance over other high-speed, FET-input amplifiers significantly.

The OPA818 is an extremely versatile, wideband TIA photodiode amplifier for use in optical test and communication equipment and many medical, scientific, and industrial instruments. The OPA818 showcases 2.7GHz gain bandwidth, low 2.4pF total input capacitance, and 2.2nV/√Hz input noise. The OPA818 can achieve over 85MHz signal bandwidth in TIA configuration with 20kΩ TIA gain (RF) and 0.5pF photodiode capacitance (CD) with wide output swings. The decompensated, low-noise architecture with pico amperes of input bias current is also well-suited for high-gain test and measurement applications. Though normally stable in gains ≥ 7V/V, the OPA818 can be used in applications with lower gains by applying noise-gain shaping techniques.

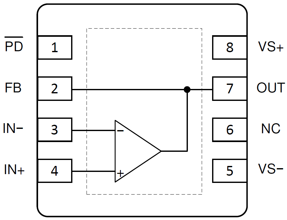
The Texas Instruments OPA818 is available in an 8-lead WSON package with an exposed thermal pad for heat dissipation. This device is specified to operate over the industrial temperature range of –40°C to +85°C.

Features

  • High speed
    • 2.7GHz gain-bandwidth product
    • 765MHz bandwidth (G = 7V/V)
    • 400MHz large-signal bandwidth (2VPP)
    • 1400V/μs slew rate
    • 7V/V stable decompensated gain
  • Low noise
    • 2.2nV/√Hz input voltage noise
    • 3fA/√Hz (f = 10kHz) input current noise
  • Low input capacitance
    • 1.9pF common-mode
    • 0.5pF differential mode
  • 4pA (typical) input bias current
  • Low distortion (G = 7V/V, RL = 1kΩ, VO = 2VPP)
    • HD2, HD3 at 1MHz: –104dBc, –108dBc
    • HD2, HD3 at 50MHz: –57dBc, –72dBc
  • 6V to 13V wide supply range
  • 8VPP (VS = 10V) output swing
  • 27.7mA supply current
  • 27μA shutdown supply current
  • Performance upgrade to OPA657

Applications

  • Wideband transimpedance amplifiers (TIAs)
  • Wafer scanning equipment
  • Optical communication modules
  • High-speed data acquisition (DAQ)
  • Active probes
  • Optical time-domain reflectometry (OTDR)
  • Test and measurement front-ends
  • Medical and chemical analyzers

Pin Configuration

Schematic - Texas Instruments OPA818 Low Noise Operational Amplifier
Inilathala: 2020-04-17 | Na-update: 2024-06-06